柳邻猫
柳邻猫
简谱
乐器谱
戏曲谱
吉他谱
钢琴乐谱
民歌曲谱
当前位置
首页
简谱
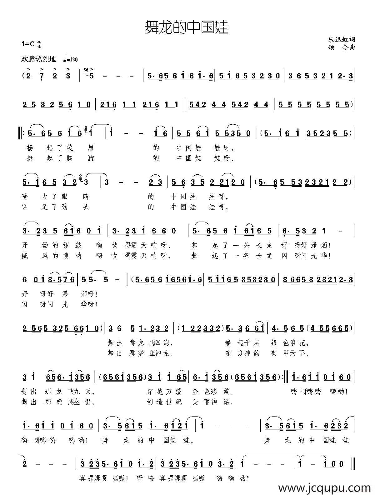
舞龙的中国娃
添加日期:2018-08-2918:38:17
尕妹妹(马忠伟)
新鸳鸯蝴蝶梦
不染(电视剧《香蜜沉
壮美内蒙古
天地无霜(电视剧《香
等候(新仙剑结局BGM·
【日】背中をかして(
神山圣水(恩山词 华
吻过醉千年
新鞋子、旧鞋子
桃花红杏花白(二胡分
天边的骆驼 (朱思思
天地之恋(曹宇光词
故乡情(晓城词 仲伟
山妹妹山哥哥
撞
[日]甩葱歌(Vocaloid
大海啊,故乡(影片《
样样红(台湾电视剧《
相思(电视剧《少年义
迎宾曲(器乐合奏分谱
好好爱我
太子河母亲河
凡心(电视剧《天乩之
我和你一样(李萱词
哭泣的野菊花
女人的心(大陆张帝词
一枝红杏
乌苏里船歌
桂花开
新壶中天
夏江南
辽河情(乐队伴奏分谱
读毛主席的书
我想让你老的慢一点(
黔江雪
小时候的月光
烟水寒(台湾电影《烟
催雪忘故
相拥而坐的老兵СИДЯТ
最美的还是我们新疆
北京喜讯到边寨(器乐
执念(牟善爽词 李想
爱情的眼泪伤了我的心
伏尔加河源远流长ВОЛГ
刘海砍礁(湖南花鼓戏
元素周期表
空心
苏武思乡(古筝大字谱
赞歌(中胡独奏总谱)
金包银
沉香流年(长篇电视连
天边的缘(胡敬峰、云
左手指月(电视剧《香
桃花朵朵飞
相见无几时
阿弥陀佛
土港,我向往的村庄(
山海书
我的好老公
柳邻猫简谱网是专业的歌谱简谱网,力争做最全的简谱网。为各位音乐爱好者提供歌曲简谱
本网站为非赢利性站点,本网站所有内容均来源于互联网相关站点自动搜索采集信息,相关链接已经注明来源。